篠崎技術士事務所ヘッダパソコン用の画像 篠崎技術士事務所スマートフォン用の画像

  1. TOP
  2. 坐骨神経痛,オイラーの式

坐骨神経痛動作をオイラーの公式で

2025年6月26日更新

当事務所は「整体のできる技術士」として、坐骨神経痛の改善に取り組んでいます。
技術士として人体の動作を測定解析し、整体師として改善のための施術を行っています。

最近何をやっても改善しない・・・など原因不明の坐骨神経痛に悩む方からの依頼が急増しています。 これは社会的損失にも繋がるため、技術士の立場で改善の方法を研究して行くことになりました。

このページの目次

お問合せボタン

東京都葛飾区お花茶屋3-4-17
篠崎技術士事務所付属バイオメカニクス 整体技研

1.改善しない坐骨神経痛の現状

最近急増している坐骨神経痛のご相談や、整体の依頼。次のようなお悩みが多い状態です。
痛みで事務所に整体に来ることもできず、出張整体で対応しています。

産後の坐骨神経痛

お二人目を出産後、腰部から足にかけての痛みで、歩行困難になった20代の女性です。

「出産後、お尻から足にかけての痛みがあり、歩行ができません。レントゲン検査では異常ありません。現 在痛み止めで対処していますが改善しません。」

整形外科、整骨院と回ったが、改善しない状態が続いていました。この先何をして良いの分からず、精 神的ダメージも大きい状態でした。

外出できない坐骨神経痛

坐骨神経痛の痛みのため、外出はもちろん、家の中での行動も厳しい70代の男性です。

「荷物を運んだ時、ちょっと腰に来ました。その時は何でもなかったのですが、時間が経過するとともに腰 から足にかけて、鋭い痛みが発症しました。 痛みで動けず、家の中の移動も介助が無ければ無理です。」

ご自宅に伺うと、寝たりきで動けない状態でした。とても身体を分析できる状態ではありません。まず 痛みを取ることを優先に、 負担の少ない経絡指圧整体で対応しました。

坐骨神経痛の痛みで職場に行けない

1か月ほど前から、腰から足首にかけての痛みとしびれが発症した30代の女性です。

「整形外科で腰椎椎間板ヘルニアと診断されました。今牽引と痛み止めで対処しています。もう一か月以上 経ちますが、改善しません。 職場も今はコロナ禍でオンラインですが、まもなく出社することになります。このままでは会社に行けませ ん。医師からはブロック注射が効かなければ、 手術が必要かも・・・と言われショックを受けています。精神的ダメージも大きく、泣くこともしばしばあ ります。どうすれば良いのでしょうか?」

痛みのため椅子に座ることも厳しい状態でした。姿勢画像を解析すると、腰部に強い曲りがあります。 身体のひずみを改善することも必要ですが、まず痛みを和らげ、徐々に矯正して行く・・・と言う方法を採 用しています。 現在2回の整体を実施、ご本人からのご報告と、運動データの照らし合わせをし、改善に努めています。

以上はほんの一例です。坐骨神経痛に悩む方は多く、改善のための研究が急がれます。

2.坐骨神経痛の動作を吟味

整形外科医や柔道整復師の方々が行っている「医療技術」とは、 全く別の目「技術士」として坐骨神経痛の改善を考えて行きます。

当事務所では 「二足歩行ロボット」の歩行バランスの原理を人体に応用し、坐骨神経痛の方の重心バランスを検査 しています。

坐骨神経痛を工学で考える。

坐骨神経痛の方は、特徴のある重心バランスをしています。なぜこのようは動作になるのか?改善のた めの方法はあるか?を調査することが必要です。

坐骨神経痛の方は、健常者の方とは必ず異なる重心バランスがあるはずです。それを細かく分析し 、整体施術で改善して行くことを目標としています。
簡単に言えば、坐骨神経痛を力学的に考えて行く・・・と言うことです。

坐骨神経痛の重心バランスを測定する。

腰部に測定器を取り付け重 心バランスを測定

まずお客様の足踏み運動時の重心バランスを測定解析するため、腰部に測定器を取り付けます。機器開発
中央大学理工学部 橋本研究室

測定器により検出された加速度を床面重心バランスZMP(ゼロモーメントポイント)に変換します。

ゼロモーメントポイントの 測定

片足立脚時、ZMP(ゼロモーメントポイント)は必ず足裏のどこかにあります。足裏から外れると、人間は 転倒してしまいます。

坐骨神経痛の方が、どんな重心バランス(ZMP)をしているのか?痛みのある人でも簡単に行える足踏み運動 で確認します。

足踏み運動の連続画像

すると以下の図のように前後左右の重心バランス(ZMP)波形が検出されます。

足踏み運動時の重心バラン ス波形

青線 左右重心バランス
赤線 前後重心バランス
緑線 骨盤ねじり速度

これだけでは整体に来られたお客様には理解できません。当事務所に来られる方は、身体を測定しに 来ているのではありません。 坐骨神経痛の痛み改善に来ているのです。 現状を分かりやすく伝えるため、前後左右のZMP波形をリサージュ図形で表します。

重心バランスをリサージュ図形で表現

以下が前後左右の重心バランスをリサージュ図形で表したものです。

足踏み運動時の床面重心バ ランス

身体の状態や性別、年齢、痛みの症状などにより、個人差が大きいことが分かります。 皆さん痛みのある場所はそれぞれ違いますが、ほぼハート形になる方が多いです。

足踏み運動のZMPをリサージュ図形で表現することにより
「自分がどんなバランスになっているのか?」
「どこを気を付ければいいのか?」

などを確認することができます。

しかもリサージュで表現することにより、極座標系の理論で、坐骨神経痛のZMPを考察することも可能に なります。

坐骨神経痛の重心バランスを分析

坐骨神経痛の方が足踏み運動をすると、左右どちらかに大きく膨らむような重心バランスになります。

坐骨神経痛の重 心バランス図

右坐骨神経痛40代女性のZMPリサージュ図、重心右側に膨らんでいます。(アルファベットCの逆の形に重 心が集中)

どのような仕組みでこのような動作が発生しているのか?
原因は何か?
痛みから回避するため、骨盤を大きく振っているのか?

知るためにまず

重心バランス(ZMP)波形を数式化する
前後左右のZMP波形から人工的にリサージュ図形を作り出す
式の条件を変え、リサージュ図形の変化を確認する
坐骨神経痛の動作を吟味する

などの考察を行っていきます。
どの式のどの部分の条件を変えれば、腰が触れ回る状態になるのか?そこから改善方法を見つけ出すのが目 的です。

3.坐骨神経痛をオイラーの公式で

「坐骨神経痛のの方は、痛みを回避するため、骨盤を左右どちらかに大きく振っている・・・」

今まではこう考えられていました。
それが本当に正しいのか?
他に原因はないのか?

前後左右の重心バランス(ZMP)を極座標で表し、オイラーの公式を活用し、考察することにしました。

通常の重心バランス動作

お客様が足踏み運動をすると、重心位置は以下図のように、前後左右に動作します。

通常の重心バラ ンス

これはあくまでも理想の状態で、お客様は当然このような動作はしてくれません。坐骨神経痛の方は なおさらですね。

骨盤ひずみがある時

多くの方は骨盤が捻じれています。つまり捻じれた状態で足踏み動作をしているのです。当然重心バラ ンス位置(ZMP) も変化します。

骨盤ひずみがあ る時のリサージュ図形

骨盤の捻じれ角度をθとします。ここでは前後の動作と左右の動作は直行(π/2)しているとします。 骨盤の捻じれ角(θ)が発生することにより、リサージュ図形も変化します。
当事務所では腰の捻じれθを「静的な姿勢ひずみ」と呼んでいます。

運動ひずみがある時

さらに 前後左右の重心バランス(ZMP)が直行しているとは限りません。θ2が90°(π/2rad)ではない、とす ると以下の図のようになります。

運動ひずみのあ る時のリサージュ図形

当事務所ではこのひずみθ2を「動的な運動ひずみ」と呼んでいます。
この運動ひずみ角度、骨盤の捻じれ角度を平面ベクトルで考えると、以下図のようになります。

重心バランスを ベクトルで考える

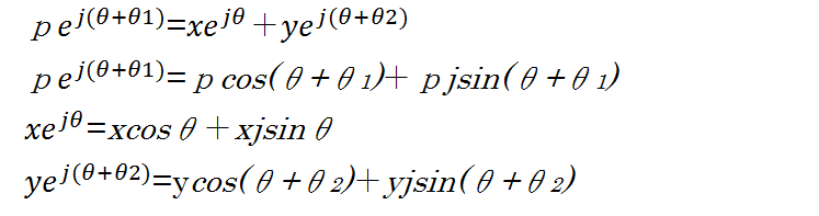
ベクトルで表現した図に、オイラーの公式を適応すると、次のようになります。

重心バランスを オイラーの公式で

この数式の実部と虚部を取ると

複素平面で重心 バランスを表現

実部を左右重心バランスで、虚部を前後重心バランスとして数式で表現できました。

これに左右重心バランス(ZMP)波形(x)と前後重心バランス(ZMP)波形(y)を代入すすれば、人工的にリサ ージュ図形の作成ができます。

4.重心バランス波形を作成する

オイラーの公式に前後左右の重心バランス(ZMP)波形(xとy)を代入することにより、人工的にリサージュ 図形が作成できることが分かりました。

代入するには前後左右の重心バランス(ZMP)波形(xとy)を数式化することが必要です。

高速フーリエ変換する

単なる数学的に波形を数式で表し、代入してもあまり意味がありません。 そこで実際お客様の重心バランス(ZMP)波形を高速フーリエ変換し、より現実に近い式を作成することに しました。

足踏み運動時のスペクトル

上の図がお客様の重心バランス(ZMP)波形を高速フーリエ変換したものです。 青線が左右の重心バランス、赤線が前後の重心バランスです。

基本周波数を見ると、お客様は左右に1Hz、前後に2Hz の動作をしています。 つまり約1秒間に一度のペースで足踏み運動をしています。一回の足踏みで、二回の前後動作をしているこ とも確認できます。

ZMPの理論波形を作成する

高速フーリエ変換すると、各波形の振幅と周波数、偏角が分かります。それを元に数式を作成すると、 以下のようになります。

足踏み運動の波 形

上記の式にを以下のオイラーの公式に代入します。

複素平面で重心 バランスを表現

実部が左右ZMP、虚部が前後ZMPとして、リサージュ図形を人工的に作り出すことができます。

5.重心リサージュシミュレーション

それではオイラーの公式に前後左右の重心バランス(ZMP)波形を代入し、リサージュ図形で表すとどうな るでしょうか?

通常のZMPリサージュ

骨盤の「静的姿勢ひずみ」も「動的運動ひずみ」も無い状態のZMPリサージュ図形です。

理論的な重心バ ランスリサージュ図形

数式化したZMP波形のx軸(左右重心バランス波形)とy軸(前後重心バランス波形)をそのままリサージュ 図形にしたものです。
実際のお客様とは形は大きく異なりますが、似た状態を作ることができました。

骨盤ひずみがある時

これに「静的姿勢ひずみ」(骨盤ひずみθ)がある場合は、どうなるか?

骨盤ひずみがあ るの時のリサージュ図形

上の図は骨盤が10°捻じれた状態で、足踏み運動をした時のリサージュ図形です。
x軸(前後ZMP波形)y軸(左右ZMP波形)とも、単振動にはなりませんが、リサージュ図形はそのまま10°傾いた 状態になりました。

運動ひずみがあるの時

坐骨神経痛の方は、静的姿勢姿勢ひずみθがあることは普通です。
動作した時も、左右と前後の動 作が直行している(90°)とは限りません。
「動的運動ひずみ」(θ2)が発生した場合、リサージュはどのように変化するでしょうか?

運動ひずみがあ る時のリサージュ図形

上の図は 左右の動作と前後の動作が直行(90°)ではなく、20°(110°)の「動的運動ひずみ」が発生した時のリサー ジュ図形です。
重心バランスが大きく右に振れまわる動作が再現できました。さらに左足着地が横の範囲が、やや広く なっているのが確認できました。

6.実際のリサージュ図形

前後と左右の動作が直行していない(90°ではない)動作「動的運動ひずみ」が、重心バランスが大きく 膨らむ原因か?
と考えることが可能になりました。

そこで実際のお客様のリサージュを確認しながら、理論的に考えて行きます。

右坐骨神経痛のリサージュ

右鎖骨神経痛に悩む30代女性に足踏み運動をしていただき、前後左右の重心バランスのリサージュ図形 を作成しました。

右坐骨神経痛の痛み

以下がこの方のリサージュ図形です。他の方に比べ、重心バランス範囲が狭い状態です。

右坐骨神経痛の 重心バランス図

さらに「動的運動ひずみ」のため、重心バランスがやや右側に振れまわっていると推定できます。
運動ひずみを改善させるため、両足のチェックと整体が必要です。

椎間板ヘルニアのリサージュ

腰椎椎間板ヘルニアのため、右臀部から足にかけての痛みがある40代の女性です。

坐骨神経痛の重 心バランス図

この方も右側に坐骨神経痛と思われる症状が出ていました。重心バランスが右に振れまわるように集中 しています。

従来は単に骨盤の触れ回り・・・と判断し、腰椎の矯正指圧をしていました。 しかし仮に「動的運動ひずみ」と考えると、むしろ腰よりも足の整体が重要では?と考えることもできます 。

さらにこの方は患部である右足で身体を支えたとき、左側の骨盤が下がる「トレンデンブルグ徴候」も確認 されています。

当事務所で行っている「骨盤ねじり運動動作の測定解析」のデータと照らし合わせ、今後の整体法を決めて いきます。

脊柱管狭窄症のリサージュ

脊柱管狭窄症の術後が悪く、左足に強い痛みとしびれがある60代の女性です。

脊柱管狭窄症の 重心バランス図

重心バランスが左に振れまわり、さらに「静的姿勢ひずみ」も発生しているようです。姿勢画像の解析 データと、骨盤ねじり運動データを確認し、 整体法を決定していくことが必要です。

現時点ではまず痛みを改善させる整体を優先させ、今後は足の整体で徐々に身体のひずみを改善して行 く予定です。

7.改善のための整体

腰部が患部である坐骨神経痛の方に、強い施術は行っていません。患部である腰には直接施術せず、全 身をやさしく経絡指圧することにより、 坐骨神経痛を改善して行きます。

坐骨神経痛の痛み改善整体

まざ坐骨神経痛の痛みを改善することを優先に行います。
以下の整体は、椎間板ヘルニアの施術法として行われている整体です。ひどい慢性腰痛やぎっくり腰改善な どにも活用されています。

坐骨神経痛の痛みを改善さ せる整体

患部である腰には直接施術せず、手を軽く当てます。(写真では左腕)右手で左足を経絡指圧し、坐骨神 経痛の痛みを改善して行きます。
負担の少ない整体法として、腰痛で動けない方にも安心して実施が可能です。

静的姿勢ひずみ改善整体

骨盤ひずみを改善させる整 体

様々な腰痛に対応した整体法です。ハムストリング(太ももの裏側)を脛を使い、ゆっくり荷重をかけて ゆきます。 負担の少ないやさしい経絡指圧整体で、身体の「静的姿勢ひずみ」改善効果があります。

肩の曲がりを改善させる整 体

ひどい肩こりや頭痛の方に行われる経絡指圧整体です。静的姿勢ひずみの中でも、肩の高さの左右差がある 方に効果があります。

以上の整体は一般的な肩こりや腰痛にも太陽されている基本整体です。 整体前後の姿勢画像を比較すると、静的姿勢ひずみの改善が確認されることが多いです。

姿勢画像の細線化処理

当事務所で行われている静的姿勢ひずみの検査です。右は撮影しただけの画像、右は画像を細線化処理 し、身体の中心線を白い線として抽出したものです。

動的運動ひずみ改善整体

骨盤が不安定に動く動作を改善する整体です。産後の骨盤矯正に多用されている経絡指圧整体です。 腰痛や股関節痛改善に効果があり、産後のお母さんに評判の良い整体法です。

骨盤の回転運動を改善させる整体

右脚部経絡指圧整体です。左手で腹部を軽く圧迫、左足で固定させます。右手のひらを当て、脚部を念 入りに指圧して行きます。

8.今後の課題

解析効果とデータ、自覚症状の因果関係を解明させていく必要があります。

実際の動作の確認

人体の動作は大変複雑です。

整体に来られたお客様は、理論通りの動きをしているか?

確認することが必要です。
しかし複雑で細かい人体動作を動画や目視で確認することは困難です。今後は自分の身体を使って、理論通 りの動作をしているか? 確認していくことも必要になってきます。

改善効果の確認

真の目的は坐骨神経痛を改善することです。整体により坐骨神経痛が改善された方は、独特の触れ回り 運動も消滅するのか?
どのような整体を行えば、触れ回り運動は改善されるのか?
データを取りながら確認していくことも必要です。

対応できる整体

坐骨神経痛独特の動作は、身体のどの部分から発生しているのか?
いくつかある整体法のうち、どの整体を実施すれば改善するのか?

検討する必要があります。オイラーの公式から求めた重心バランスと実際のデータとの比較。
坐骨神経痛の方との話し合いを確り行い、 改善して行く必要があります。

終わりに

オイラーの公式を応用し、坐骨神経痛の重心バランスを理論的に考えてみました。 しかしまだまだ工学的な領域で、医学的見解が無い状態です。今後は整形外科医、理学療法士の方たちと連 携し、坐骨神経痛改善の研究を進めていく必要があります。

医療関係の方々の助言、ご意見等を募集中です。

篠崎技術士事務所のホームペ ージ
バイオメカニクス整体技研のホ ームページ

福利厚生のための出張整体しています。

福利厚生倶楽部の大手リロクラブさんと連携しております。

お問合せボタン